高伝導金属における異常ホール効果を理解する理論を提唱

2025年12月24日 公開

電子の量子位相干渉と磁気相関の協奏効果を理論的に解明

ポイント

  • スキルミオンなどのカイラル磁気構造が引き起こす異常ホール効果の温度・磁場依存性の理論を構築
  • 電子波の量子位相干渉効果により、電子の波長に応じてホール効果が振動・符号反転することを発見
  • スピントロニクスや磁性量子デバイスの設計指針に資する基礎理論として期待

概要

東京科学大学(Science Tokyo)理学院 物理学系の石塚大晃准教授らの研究グループは、学習院大学 理学部 物理学科の宇田川将文教授と共同で、高伝導度磁性金属における異常ホール効果[用語1]の非自明な温度・磁場依存性を理論的に解明しました。

スキルミオン[用語2]などのカイラル磁気構造[用語3]は、特異な輸送特性を示すことから、次世代電子デバイスへの応用が期待されています。磁気構造に起因する異常ホール効果は、そのような効果の代表例であり、磁気構造の電気的検出にも応用されています。しかし、実験で観測される複雑な温度・磁場依存性の物理的理解は困難であり、複雑な数値計算に頼るしかないと考えられてきました。

本研究では、電子が磁気構造によって散乱される際の量子位相干渉効果と、磁気相関の温度・磁場依存性に着目することで、異常ホール効果の複雑な振る舞いを理論的に解析しました。その結果、電子の散乱強度が位相干渉によって特徴づけられ、フェルミ波長[用語4]に応じてホール伝導度が振動・符号反転することを発見しました。さらに、近接スピン相関と遠距離スピン相関の競合や、スピン相関自体の非単調な温度依存性が、ホール効果の非単調な温度依存性を引き起こすことを明らかにしました。

本成果は、複雑な数値計算によってのみ理解可能と考えられてきた磁性金属の輸送特性について、明瞭な物理的描像を与えるものであり、スピントロニクスや磁性体を用いた量子技術への応用が期待されます。

本研究成果は、米国物理学誌「Physical Review Letters」に2025年12月16日(米国東部時間)に掲載されました。

背景

スキルミオンなどのカイラル磁気構造は、磁気メモリや論理演算デバイスへの応用が期待されており、その物理的性質の理解は重要な研究課題です。特に、カイラル磁気構造に起因するスカラー・スピン・カイラリティ[用語5]は、電子に実効的な磁場(ベリー位相)として作用し、異常ホール効果を引き起こすことが知られています。この効果は、磁気構造の電気的検出や、量子力学的効果を反映した興味深い現象として注目されています。

しかし、実験で観測される異常ホール効果の温度・磁場依存性については、符号反転や単調ではない温度変化などが報告されており、明らかになっていない点が多くあります。例えば、高伝導金属PdCrO2では、スキュー散乱機構[用語6]が支配的であることが知られていますが、その詳細な振る舞いの物理的理解は得られていません。また、これまでの理論研究は極低温の理想的な秩序状態に着目しており、多様な温度・磁場依存性を理解するためには、複雑な数値計算に頼るしかないと考えられてきました。

研究成果

量子位相干渉効果に基づく理論の構築

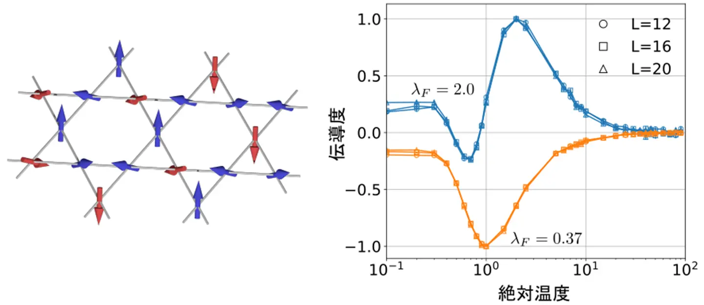
本研究では、カゴメ格子(籠の目のような三角形と六角形から成る格子、図2左)上のイジングスピン系(氷の結晶構造と類似性があることから、カゴメアイスと呼ばれる)を電子が通過する際の散乱過程を理論的に解析しました。電子がカイラル磁気構造によって散乱される過程で、量子力学的な位相干渉効果(図1)が生じます。この効果の影響を解析することで、異常ホール伝導度の一般公式を導出しました。

導出された公式は、スカラー・スピン・カイラリティと、伝導電子の電子波の波長であるフェルミ波長の組み合わせで表されます。これにより、異常ホール伝導度がフェルミ波長に依存して振動し、符号反転を示すことが明らかになりました(図2右)。この振動は、電子波の位相干渉によるものです。

図1. 2重スリットによる光の干渉縞(上)と磁気散乱による電子波の位相干渉効果(下)。
2重スリットの実験では、それぞれのスリットを通った光の干渉により縞模様が生じる。磁気散乱では、それぞれのスピンで散乱された電子波の干渉により電子の軌道が曲がり、上方向に飛んでいく。
図2. カゴメアイス模型の概念図(左)とホール伝導度の温度依存性の数値シミュレーション。λF は電子波の波長(フェルミ波長)。

非単調な温度依存性のメカニズムの解明

さらに、数値シミュレーションを用いてスピン相関の温度・磁場依存性を計算し、異常ホール効果の振る舞いを解析しました。その結果、非単調な温度依存性(図2右)には主に2つの起源があることを発見しました。

1つ目は、近接スピン相関と遠距離スピン相関の競合です。高温では近接相関が支配的ですが、温度が下がると遠距離相関の影響が大きくなり、両者の寄与が競合することで非単調な振る舞いが生じます。2つ目は、高磁場領域ではスピン相関自体が非単調な温度依存性を示すことです。この結果、ホール伝導度の符号反転を引き起こします。これらの効果は、フェルミ波長の値によって異なる現れ方をすることも明らかになりました。

社会的インパクト

本研究は、複雑な数値計算によってのみ解析が可能と考えられてきた磁性金属の輸送特性について、電子の量子位相干渉と磁気相関に基づく明瞭な理論を提示しました。この理論により、従来の理論に比べて簡単な計算でホール効果の温度依存性を予測することが可能となりました。また、本成果は、スキルミオンなどの磁気構造の電気的検出に関する基礎理論として、スピントロニクスや磁性体を用いた量子技術に広く資するものです。材料のバンド構造やフェルミ波長から輸送特性を予測する指針を与えることができ、次世代磁性デバイスの設計に貢献することが期待されます。

今後の展開

本研究で構築された理論は、PdCrO2のような比較的単純なバンド構造を持つ材料に直接適用可能であり、電子状態の理論計算や実験から得られるフェルミ波長を用いて、ホール効果の起源を解析することができます。今後は、より複雑なバンド構造を持つ材料への拡張や、内因性寄与とスキュー散乱寄与の分離方法の確立など、理論のさらなる発展が期待されます。

付記

本研究は、日本学術振興会(JSPS)科学研究費助成事業(JP19K14649、JP23K03275、JP20H05655、JP22H01147、JP23K22418、JP25H00841)および科学技術振興機構(JST)戦略的創造研究推進事業 さきがけ(JPMJPR2452)の支援のもと実施されました。

用語説明

[用語1]
異常ホール効果:磁性材料において、外部磁場によるローレンツ力とは異なるメカニズムで電子の流れが曲げられる現象。スピン軌道相互作用や磁気構造に起因するベリー位相(量子状態の波動関数が得る位相の一種)が原因となる。
[用語2]
スキルミオン:2次元磁性材料中のスピンが作るトポロジカル欠陥と呼ばれる構造の一種。3次元空間のスピンが作るハリネズミ構造を2次元面に射映した形をとる。
[用語3]
カイラル磁気構造:スキルミオンなど、スピンが特定の回転方向(カイラリティ)を持つらせん状の配列をとる磁気構造。
[用語4]
フェルミ波長:電気伝導を担う電子の波長。金属中の電子の波としての性質を決定する基本的なパラメータ。
[用語5]
スカラー・スピン・カイラリティ:3つのスピンの向きが1つの平面に乗らない非共面性を定量化した量で、正負の符号を持ち、磁気構造のカイラリティも特徴づける。ベリー位相を通じ、電子に有効磁場として作用する。
[用語6]
スキュー散乱:不純物や磁気構造による電子の非対称散乱。高伝導度金属では、異常ホール効果の主要なメカニズムとなる。

論文情報

掲載誌:
Physical Review Letters
タイトル:
Sign Reversal and Nonmonotonicity of Chirality-Related Anomalous Hall Effect in Highly Conductive Metals
著者:
Ryunosuke Terasawa, Masafumi Udagawa, and Hiroaki Ishizuka*
*corresponding author

研究者プロフィール

石塚 大晃 Hiroaki Ishizuka

東京科学大学 理学院 物理学系 准教授
研究分野:物性理論

宇田川 将文 Masafumi Udagawa

学習院大学 理学部 物理学科 教授
研究分野:物性理論

関連リンク

お問い合わせ

東京科学大学 理学院 物理学系

准教授 石塚 大晃

取材申し込み

東京科学大学 総務企画部 広報課