テルペンカプセル:キラル情報を伝える分子道具

2024年10月7日 公開

色素分子の内包によるキラル光学特性の発現

要点

  • 植物由来のテルペン骨格を持つキラルカプセルを作製
  • 水中で多様な形状のアキラル色素分子を効率的に内包
  • 内包された色素分子に由来するキラル光学特性を観測

概要

東京科学大学 物質理工学院 応用化学系の橋本義久大学院生(博士後期課程1年)、同 総合研究院 化学生命科学研究所の田中裕也助教と吉沢道人教授らは、キラル[用語1]空間を持つ分子カプセルの新構築法を開発した。このカプセルは、キラルなテルペン[用語2]骨格を持つ両親媒性分子を水に溶かすだけで形成し、アキラル[用語3]な色素分子を効率良く内包した。また、カプセル内では色素分子に対して、キラル情報が効果的に伝達された。本研究の成果は、大小さまざまなアキラル色素分子を分光学的にキラル化する便利な手法になりうる。

キラル情報は生体構造のDNAやタンパク質などで効率的に伝達・保持されているが、これらを人工的に実現するには複雑な分子設計や多段階の合成操作が必要である。テルペンは植物由来のキラル分子であり、安価に入手できるキラル源であるが、これを利用した人工キラル空間の構築は未開拓であった。

本研究では、2つのキラルなテルペン骨格を導入した湾曲型の両親媒性分子[用語4]を新たに設計・合成した。この分子は水中で、疎水効果を駆動力に自己集合して、瞬時かつ定量的に約2ナノメートルの分子カプセルを形成した。カプセルは内部に柔軟なキラル空間を持ち、さまざまな形状の蛍光性色素分子を効率良く取り込んだ。得られた内包体では、色素分子に由来したキラルな分光学的性質が特異的に観測され、カプセル内での効果的なキラル情報伝達を達成した。この分子道具は今後、内包により多様な色素分子だけでなく、高分子材料や金属触媒などにキラル情報を自在に付与する応用展開が期待できる。

本成果は、近畿大学の今井喜胤教授と鈴木太哉大学院生との共同研究で、米国の主幹化学雑誌「Journal of the American Chemical Society」(米国化学会誌)に掲載された(オンライン版8月19日)。

  • 2024年10月1日に東京医科歯科大学と東京工業大学が統合し、東京科学大学(Science Tokyo)となりました。

背景

生物はキラルな糖やアミノ酸(図1a)を活用することで、DNAやタンパク質などのキラルな生体構造を精密に構築している。これらにより、生命活動に必須なキラル情報[用語5]の伝達や保持が効率的に行われている。キラル情報を人工的に伝達する方法として、キラル空間[用語6]の活用が注目されているが、複雑な分子設計や多段階の合成操作が必要であった。

そこで本研究では、柔軟な人工キラル空間を持ち、水中で利用できる分子カプセルの構築法の開発を目指した。キラル分子の一つであるテルペン(具体的にはパラメンタン;図1b)は植物由来であり、安価に入手できるキラル源である。また、糖やアミノ酸と異なり、疎水性と剛直性の高い分子骨格を有する。しかしこれを利用した人工キラル空間の構築は未開拓であった。そこで研究グループは、複数のテルペン骨格に囲まれた空間を持つ分子カプセル(テルペンカプセル)を作製することで、内包したさまざまな色素分子のキラル光学特性が誘起できると考えた。

図1. (a)生体系に由来するキラル分子と(b)本研究で注目したテルペン。

研究成果

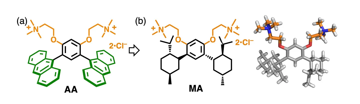
本研究では、吉沢らが独自に開発した湾曲型の両親媒性分子AA(図2a)[参考文献1] [参考文献2]を基にして、新たにテルペン骨格を2つ持つ湾曲型の両親媒性分子MAを設計・合成した(図2b)。MAは水中でキラル空間を持つ球状のテルペンカプセル(MA)nを形成し、さまざまな疎水性色素分子を効率良く内包した。また、内包された色素分子に由来したキラルな分光学的性質が特異的に観測され、カプセル内包による効果的なキラル情報伝達に成功した。以下にその詳細を説明する。

図2. (a)湾曲型の両親媒性分子AA(既報)と(b)テルペン骨格を持つ湾曲型の両親媒性分子MAの構造。

1. テルペンカプセルの作製

本研究ではまず、湾曲型両親媒性分子MAおよびその鏡像異性体[用語7]MAEをそれぞれ、全6段階の反応により合成した。得られたMAの固体を室温で水に加えることでテルペン骨格に囲まれた空間を有するテルペンカプセル(MA)nが瞬時かつ定量的に形成した(図3a)。テルペンカプセルの構造は主に、12個のMAのテルペン部位が中央に集合した球状6量体であることが、動的光散乱法による粒径分析と分子モデリングから示された(図3b, 左)。また、円偏光二色性(CD)スペクトル測定により、テルペンカプセル(MA)nが水中で内部にキラル空間を有することが示唆された。

図3. (a)テルペンカプセル(MA)nの形成と色素分子TPEの内包。(b)カプセル(MA)6と(c)内包体(MA)21•(TPE)12の計算構造。(d)内包体(MA)n•(TPE)mのUV-visible吸収スペクトル(r.t., H2O)と(e)内包体(MA or MAE)n•(TPE)mのCDスペクトル。(f)キラル情報の伝達を達成した色素分子。

2. 色素分子の内包によるキラル情報の伝達

また、このテルペンカプセル(MA)nによって、複数の芳香環を持つテトラフェニルエチレン(TPE)の内包によるキラル情報伝達に成功した。乳鉢と乳棒でMATPEの固体をすりつぶして良く混合し、水を加えて遠心分離後、ろ過して余剰の色素を取り除くことで、内包体(MA)n•(TPE)mの無色透明な水溶液を得た(図3c)。この内包体は12個のTPEが21個のMAに囲まれた直径約4 nmの球状構造であることが粒径分析と、吸収スペクトル測定、NMR測定および分子モデリングにより示された(図3b, 右)。またUV-visibleおよびCDスペクトル測定により、(TPE)mに由来する250〜340 nmの吸収帯おいてキラル光学特性に起因するコットン効果[用語8]が観測された(図3d, e)。この現象は、テルペンカプセルのキラル骨格からアキラルな色素分子にキラル情報が伝達されたことを示している。その伝達効率を示す非対称性因子(|gabs|)値は、2.7×10–4であった。また、よりかさ高いヘキサフェニルシロール(HPS)、平面状のコロネン(Cor)やペリレン(Per)などの色素分子(図3f)に対してもキラル情報を伝達することに成功した(|gabs| = 0.7-1.9×10–4)。

3. 熱刺激によるキラル情報伝達の増幅

さらに、内包された色素分子へのキラル情報の伝達が、加熱により増幅させることに成功した。まず上述した同様の手法で、嵩高い置換基を有する有機ホウ素色素DBBを内包したカプセル(MA)n •(DBB)mを得た(図4a, b)。その水溶液のUV-visibleおよびCDスペクトルでは、450〜550 nm付近に内包された(DBB)mに由来するコットン効果が観測されたことから、カプセル内でのキラル情報の伝達が確認できた(図4c, d)。興味深いことに、その内包体の水溶液を80℃に加熱後、再度CDスペクトルを測定した結果、同領域のコットン効果の強度が大幅に向上した。|gabs|値が1.9×10–4から6.4×10–4に変化したことから、熱刺激によりキラル情報の伝達が約3倍に増加した(図4e)。一方、嵩高い置換基を持たないPMBの内包体では、加熱によるコットン効果の変化は観測されなかった。

図4. (a)嵩高い有機ホウ素色素の内包体(MA)n•(DBB)mと(b)その計算構造((MA)14•(DBB)10)。(c)内包体(MA)n•(DBB)mのUV-visibleスペクトル(r.t., H2O)と(d)その加熱前後でのCDスペクトル。(e)各種内包体のgabs値。

4. キラル情報伝達による円偏光発光の発現

最後に、効果的なキラル情報伝達により色素内包体は円偏光発光(CPL)を示した。内包体(MA)n•(TPE)mの発光スペクトルでは、内包されたTPEに由来する発光バンドが450 nm付近に観測された(図5a)。その量子収率(ΦF)は20%で、単独のTPE固体に近い高い値を示した。内包体(MA)n•(TPE)mおよび(MAE)n•(TPE)mの円偏光発光(CPL)測定では、450 nm付近に鏡像対称のシグナルが観測され、その発光の非対称性因子(|glum|)値は0.8×10–3であった(図5b)。同様に、CorDBB内包体においてもCPLシグナルを観測し(|glum| = 2.0-3.3×10–3)、非共有結合によるキラル情報伝達系の中でも高い|glum|値を示した(図5c)。

図5. 内包体(MA)n•(TPE)mの(a)発光スペクトル(r.t., H2O)と(b)CPLスペクトル。(c)各種色素分子を内包した(MA)nの|glum|値。

社会的インパクト・今後の展開

本研究では、テルペン骨格を活用したキラル空間を持つ分子カプセルの構築法を開発するとともに、その水中での種々な色素分子の内包に成功した。内包された色素分子に由来したキラルな分光学的性質が特異的に観測され、カプセルから色素への効果的なキラル情報伝達とその外部刺激による増幅を達成した。今後はこの分子道具を応用して、精密合成を必要としない簡便な操作で、多様な色素分子だけでなく、高分子材料や金属触媒などにキラル情報を自在かつ高効率に伝達できる分子カプセルを開発していきたい。

付記

本研究は、科学研究費助成事業 (代表:吉沢道人、課題番号:JP21K05211、JP22H00348、JP23K17913)の⽀援を受けて⾏われた。

用語説明

[用語1]
キラル:分子が左右対称ではなく、鏡像関係にあるもう1つの形(エナンチオマー)が存在して、それらは互いに重ね合わせられない性質。
[用語2]
テルペン:植物が作り出す有機分子で、芳香性を持つものが多い。代表例として、ミントに含まれるメントールや柑橘類に含まれるリモネンなどがある。
[用語3]
アキラル:「キラル」の対義語で、分子が左右対称であり、鏡像関係にあっても重ね合わせられる性質。
[用語4]
両親媒性分子:セッケンに代表される、親水性と疎水性(=親油性)の両方の性質を持つ分子。水中で自発的に分子の集合体を形成する。
[用語5]
キラル情報:キラルな分子が持つ特有の情報。例えばキラルな分子は光の振動方向を回転させる性質を持ち、これを他の分子に伝えることができる。
[用語6]
キラル空間:キラルな環境に囲まれた空間。この空間では、アキラル分子がキラルな性質を示すことがある。
[用語7]
鏡像異性体:同じ分子式と結合順序を持つが、互いに鏡像関係にあり、重ね合わせられない立体異性体を指す。
[用語8]
コットン効果:キラル分子が円偏光と呼ばれる特定の光を吸収する際に、吸収強度が波長に応じて変化する現象。

参考文献

[1]
K. Kondo, A. Suzuki, M. Akita, M. Yoshizawa, Angew. Chem. Int. Ed., 2013, 52, 2308-2312
[2]
a) M. Yoshizawa, L. Catti, Acc. Chem. Res. 2019, 52, 2392–2404; b) M. Yoshizawa, L. Catti, Proc. Jpn. Acad. Ser. B 2023, 99, 29–38.

論文情報

掲載誌:
Journal of the American Chemical Society
論文タイトル:
Chiroptically Active Host–Guest Composites Using a Terpene-Based Micellar Capsule
著者:
Yoshihisa Hashimoto, Yuya Tanaka*, Daiya Suzuki, Yoshitane Imai, and Michito Yoshizawa*
(橋本義久、田中裕也*、鈴木太哉、今井喜胤、吉沢道人*)

関連ページ

お問い合わせ

 

東京科学大学 総合研究院 化学生命科学研究所
助教 田中裕也

 

東京科学大学 総合研究院 化学生命科学研究所
教授 吉沢道人

取材申し込み

東京科学大学 総務企画部 広報課